CAS No. 40623-75-4
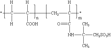
Structural Formula:

AA/AMPS is the copolymer of acrylic acid and 2-acrylanmido-2-methylpropanesulfonic acid. Due to including carboxylic group (scale inhibition and dispersion) and sulfonic acid group (strong polarity) in this copolymer, AA/AMPS has high calcium tolerance and good scale inhibition for calcium phosphate, calcium carbonate and zinc scale. When built with organophosphines, the synergic effect is obvious. AA/AMPS is suitable to be used in water quality of high pH and high alkaline, it is one of the ideal scale inhibitor and dispersant on high concentration index.
| Items | Index |
|---|---|
| Appearance | Colorless to pale yellow viscous liquid |
| Solid content, % | 40.0 min |
| Free monomer (as AA), % | 0.5 max |
| Density (20℃), g/cm3 | 1.15 min |
| pH(1% water solution) | 3.5-4.5 |
AA/AMPS can be used as scale inhibitor and dispersant in open circulating cool water system, oilfield refill water system, metallurgy system and iron & steel plants to prevent sediment of ferric oxide. When built with organophosphorines and zinc salt, the suitable pH value is 7.0~9.5.
AA/AMPS can also be used as dyeing auxiliaries for textile.
AA/AMPS liquid: 200L plastic drum,IBC(1000L),customers’ requirement.
AA-AMPS; AA-AMPSA; Acrylic Acid-2-Acrylamido-2-Methylpropane Sulfonic Acid Copolymer; Sulfonated Polyacrylic Acid Copolymer;